
This project aims to conduct an inferential statistics study on data samples. Through this work, we sought to determine which probability distributions could model the observed data.
Each sample follows a different probability distribution (log-normal, uniform, Laplace-Gauss). This analysis highlights the importance of selecting models adapted to each distribution.
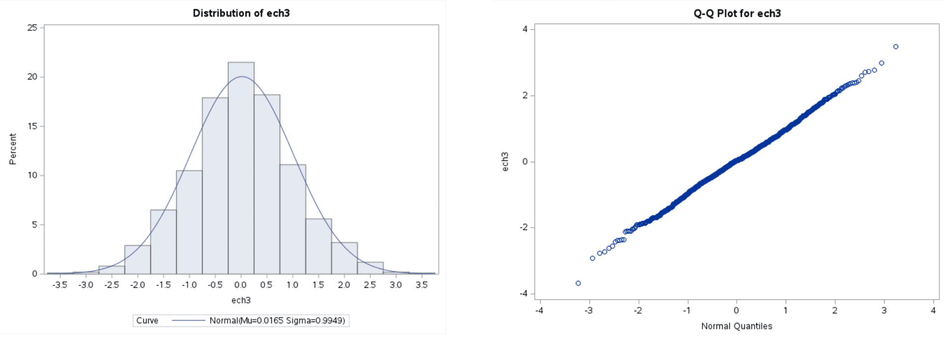
Below is a chart comparing sample distribution with the normal curve, together with a QQ-plot.

Would you like to learn more about this project? The detailed report is available in PDF.